文献中心

  • eQCM在盐水中氯气的直接电合成分离应用
  • Mo的掺入对硝基苯在Fe2Ni2N表面的电还原反应影响

    硝基苯(NB)选择性电还原生成氧化偶氮苯(AOB)是重要的电化学 N-N 偶联反应,可制备高附加值产物。

  • 即将举行的展会-会议-短期课程

    Gamry 将出席或赞助以下会议、展览、短期课程和网络研讨会。 如果您将参加任何会议,我们希望您能停下来与我们的电化学专家交谈。这是查看最新 Gamry 产品功能或提请我们注意任何技术问题或应用问题的好方法。

  • 方波脉冲

    介绍Gamry Framework™软件中可用的许多电化学技术,包括方波伏安法,一种脉冲伏安法。本应用报告介绍什么是方波伏安法以及所涉及的参数。方波伏安法背后的理论我们从施加一系列阶梯电位信号开始。阶梯波形上还添加了...

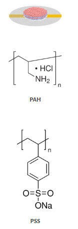
  • 采用石英晶体微天平监测叠层自组装的聚电解质薄膜

    引言聚电解质薄膜组装有很多应用——如缓蚀剂、化学和生物传感以及电致变色等。层层(LbL)组装是一项带正电和负电薄层交替像三明治一样组装的技术,如下图所示。该技术超越其他薄膜沉积技术的两个优势是:成本和控制...

  • 采用石英晶体微天平追踪生物膜

    引言生物膜是微生物附着到表面。微生物在表面形成薄膜,生物膜因此得名。本应用报告专门处理细菌生物膜,它会在电极上将化学物质转化为电流。基于这一功能,我们称其为电化学活性生物膜(EABs)。对EABs感兴趣的领域...

  • 应用eQCM-I追踪聚苯胺的电沉积

    应用eQCM-I追踪聚苯胺的电沉积引言带阻抗石英晶体微天平(QCM-I)是在表征结构复杂的生物膜实验中很流行的一项独特技术。基础QCM测量只追踪膜沉积或生长过程中的共振频率变化,QCM-I能提供与膜粘弹性有关的定量信息。...

  • 电化学石英晶体位天平对超级电容器的表征

    引言近年来,大量研究涌入超级电容器领域。超级电容器有高充放电倍率、长循环寿命、宽工作温度范围和低单循环成本的优点。电化学石英晶体微天平(EQCM)是与电化学工作站一起使用的石英晶体微天平(QCM),石英晶片的...

  • 基本的电化学腐蚀测量

    介绍大多数金属腐蚀通过在金属与溶液界面上发生的电化学反应而产生。对大气腐蚀而言金属表面薄的水分子层形成了溶液。大桥中的钢筋发生腐蚀的电解液是潮湿的混凝土。尽管大多数腐蚀发生在水中,也有腐蚀发生在非水系...

  • 涂层的快速电化学评估

    介绍 涂层的快速电化学评估是一种旨在短期电化学测试评 估涂层的长期耐蚀性的程序。涉及在 24 小时内对两个 或多个样品进行一系列实验。实验结束时,分析数据 以获得三个参数。 测试人员可以使用 REAP 参数来评估涂层...

  • 联系电话:021-65686006;18602119198
  • 联系QQ:3826146466
  • 联系邮箱:wzhang@gamry.com ;Gamry_market@163.com
  • 联系地址:上海市杨浦区逸仙路25号同济晶度310室

@2020-2099   备案号:鲁ICP备2023042125号-1